营养学/维生素B2

来自医学百科

5.7.1 结构及性质

维生素B2又名核黄素(Riboflavin,VB2),它是核醇与7,8-二甲基异略嗪的缩合物(图5-1`6);为黄褐色针状结晶,溶解度较小,在27.5℃时溶解度为12mg%。核黄素5-磷酸较易溶解,二者在碱性溶性液及光照下均易分解,其荧光由于三位亚氨基。光分解侧链可得光色素、光黄素及甲酰甲基黄素。在消化道内,肠内微生物也可将其分解为甲酰甲基黄素等(图5-170。

维生素B2结构式


图5-16 维生素B2结构式

植物能合成核黄素,动物一般不能合成,必须由食物供给,但在哺乳动物肠道中的微生物可以合成并为动物吸收,但其量甚微,不能满足需要。

核黄素的辅酶有二种形式;即黄素单核苷酸(FMN)和黄素腺嘌呤二核苷酸(FAD)(图 5-18)。

5.7.2 代谢

核黄素或其辅酶在食物中与蛋白质结合形成复合物——黄素蛋白,从乳、蛋中得来后,经消化道内蛋白酶焦磷酸酶水解为核黄素。有些黄素蛋白释放出8α-氨基酸半胱氨酸组氨酸)核黄素可以吸收,但无生物效用。

人在小肠近端吸收核黄素。正常人吸收迅速,吸收量与剂量成比例,直到摄取量为25mg时都很稳定。核黄素与其他食品一起摄入,增加其吸收。肠胃道功能紊乱及胆管阻塞都可导致吸收不良。维生素B2大肠内也可吸收、吸收的机理因剂量大小而异,低剂量时为主动吸收,需要Na+。在剂量为0.2ugmol时,有最大的吸收率,大剂量时为扩散吸收。

核黄素5-磷酸的分解产物


图5-17 核黄素5-磷酸的分解产物

维生素B2都是以辅酶形式存在于血、组织及体液中,从血流到组织(如肝)细胞中,游离式的核黄素,才能透过细胞膜到细胞内。核黄素类似物如半乳糖黄素及核黄黄素,可能阻止维生B2在黄素激酶(Flavokinase)作用下,转变为FMN。这种激酶存于许多细胞浆内,但在肝及小肠内的活力特别高。黄素激酶作用时需要ATP及二价阳离子,它也作于维生素B2的类似物,氨基酸的衍生物为干扰剂。维生素B2除掉侧链后生成物,如光黄素都是干扰剂。

FAD是由FMN通过FAD合成酶作用形成的。此酶广泛存在于组织的胞浆内,也需要ATP二价阳离子,FMN及其类似物都可作为底物、异核黄素干扰其活力,对FMN及FAD有拮抗作用。维生素B2缺乏及甲状腺过多时,FAD合成酶活力增加。

水解FMN及FAD的酶广泛存在各组织中。FMN磷酶在碱性或酸性中都能作用,在肝中酸性磷酸对FMN的作用较强,在维生素B2缺乏时,并不影响FMN磷酸酶的活力。FAD焦磷酸酶也能促使FAD水解。它在肝病病人的血清中升高。

维生素B2肾小球滤过,可在肾小管中再吸收。在血清维生素B2浓度低时,尿排出量较少,为一常数。但血清维生素B2达到1μg.ml-1时,排出增多。维生素B2摄取量愈小,体内储存百分率愈大。给予大鼠55μg14C-一维生素B2,10%的14C从尿中排出,3%在大便中排出,1%从呼吸道以CO2形式排出。但如剂量增加(15μg.ml-1饲料),10%14C从便中排出。所以核黄素主要从尿中以游离式排出。肠道细菌分解的仅为一小部分,而且环状部比较稳定,仅侧链分解。维生素B2在体内的转换率与剂量大小有关,大鼠正常剂量时,每日排出15~20μg维生素B2生物半寿期为16日,剂量大时排出多,生物半寿期也短。

大鼠皮下注射6倍正常剂量的标记维生素B2,1h后,肾、小肠及肝有最高放射活性。腹腔注射后,其分泌情况与皮下注射者一样,但肝中之量非常高。FMN在肠中合成,FAD在肾中及肝中合成。其合成放射活性维生素B2>FMN>FAD,说明了合成的次序。如腹腔内注射中等剂量,量高放射活性在肝及肾中,其次为肠,再次为其他组织,而血中最低。在肝中主要为FAD。皮下注射正常剂量,1.5h后,肝中有17%的放射活性。其中80%为FAD。

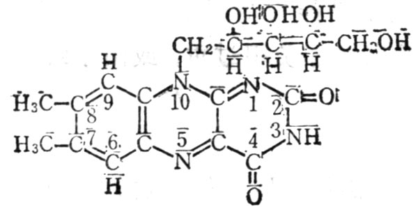
核黄素嘌呤二核苷酸(FAD)


图5-18 核黄素嘌呤二核苷酸(FAD)

5.7.3 生理功能

维生素B2是维持动物正常生长所必需的因素,严重缺乏时生长停顿。有些局部损害,如在口角处因维生素B2的缺乏而发生糜烂。在怀孕时,如维生素B2缺乏,可致畸胎,但在人类尚未发生这种情况。动物试验证明有些白内障与维生素B2缺乏有关,可用FAD预防。

维生素B2主要功能是构成体内许多黄素酶中的辅酶(FMN,FAD)。这些酶为电子传递系统中的氧化酶脱氢酶(图5-19),前者将还原型的辅酶与分子氧直接起作用,生成过氧化氢,作用较快。后者所催化的反应是从底物上将一双氢原子直接递给FMN或FAD,形成还原型的FMNH2或FADH2,它们的脱氢仍需呼吸链上的其他因素,不能直接被分子氧所氧化,作用缓慢。在缓慢。在呼吸链上FMNH或FADH氧化能力比NADPH要强一引起,它可以直接与氧作用,而NAPH只能间接与氧作用。FMN或FAD常常是接受NADPH递给的氢使其变成FMNH或FADH。

黄素酶的作用


图5-19 黄素酶的作用

黄素蛋白处于氧化状态时,在波长370及450nm处,有较宽的吸收峰;处于还原态时,在450nm的峰消失。有些黄素蛋白除含黄核苷酸外,还含有金属离子(如铁、、锌),也是这些酶所需要的。

琥珀酸脱氢酶中的组氨酸


图5-20 琥珀酸脱氢酶中的组氨酸

FMN或FAD与酶蛋白结合,一般是通过 8位上的亚甲基与酶蛋白上的半胱酸、组氧酸或氨酸相联结。(图5-20)。维生素B2辅酶有三种功能形式图5-21。

(1)以维生素B2为辅酶的氧化酶可分为下列类型:

① 黄素接受电子后又被氧化形成H2O2葡萄糖氧化酶。

维生素B2辅酶三种功能形式


图5-21 维生素B2辅酶三种功能形式

Gpasiyah.jpg


D-葡萄糖+O2→D-葡萄糖内酯+H2O2

② 形成底物-酶复合体并继续继续形成中间体,直到与O2作用后,此底物脱氢与复合体分开,如d,1-氨基酸氧化酶。中间体可能为辅酶与底物相偶联,与O2作用后,亚氨基酸水解为α-酮酸及氨,并生成氧化型的酶及H202

Gpasj81s.jpg


黄嘌呤氧化酶更为复杂,有二个活动点,一个活动点有1个Mo原子与二个Fe-S中心,Fe-S中心为了维持Mo在氧化状态,另一活动点为FAD分子。底物首先与氧化Mo(6价)作用,再与FAD作用形成FADH2形成FADH2,最后与氧化作用形成H2O2

黄嘌呤+H2O2+O2尿酸+H2O2

④混合功能氧化酶(黄素单氧化酶),如此类酶催化氧分子中的一个氧原子到底物中去另一个原子形成水。如底物本身供给电子以水者叫做内部黄素氧化酶,其反应式如下:其中-XH可为-OH或-NH2

Gpasjb77.jpg


如果由NADPH(或NADH)作为还原剂以形成水者,叫做外部黄素氧化酶,一些芳香族化合物羧基化(如肝犬尿氨酸羧化酶)需要此酶,反应式如下:

AH+NAD(P)H+H++O2→A-OH+H2O+NAD(P)+(AH为底物)

实际上这些羧基化酶的辅酶(核黄素部分)先氧化为氧化型者,则与NAD(P)H作用又还原为还原型者。

微粒体混合功能氨氧化酶,此酶在肝微粒体中,其底物为半胱胺,氧化为胱胺,除黄素蛋白外,还需要NADPH及氧的参加,此反应产生-S-S-以合成蛋白的双硫键。

(2)维生素B2脱氢酶。无金属黄素蛋白的脱氢酶,包括有二氢硫辛酰胺脱氢酶(dihydro lipoamide dehydrogenase)、麦胱甘肽还原酶(glutathione reduetase)、硫氧还蛋白还原酶(thioredoxin reductase)、NADH-细胞色素b3还原酶(NADH-cyutochrome b2reductase)及NAD(P)H-细胞色素P450还原酶(NAD(P)H-cytoehrome P-450reductase)前三者为NAD(P)双硫氧化原酶系统(图5-22)。

NADH-细胞色b3还原酶催化NADH的H转移至FAD而形成FADH2再将电子转移到氧化型细胞色素b3上将其还原,NADPH-细胞色素P450还原酶电子供体为NADPH,但还有一分子FAD及一个分子FMN,微粒体中NADPH-细胞色素C还原酶包括2个分子FAD。

FAD-双硫氧化还原酶系统


图5-22 FAD-双硫氧化还原酶系统

含金属的黄素蛋白脱氢酶数量很多,包括呼吸链中含有NAD(P)H的脱氢酶,其中研究较多者为NADH脱氢酶及琥珀酸脱氢酶,因其与氧化磷酸化有联系。琥珀酸脱氢酶与FAD及2个Fe-S中心偶联,再与辅酶Q相联。NADH-辅酶Q脱氢酶每个FMN有4个Fe-S中心,每个中心有2~4个铁原子,NADH还原黄素蛋白,然后将电子传递到离NAD相近Fe-S中心,再传递到与辅酶Q相近的Fe-S中心,最后传递到辅酶Q上。

另外在线粒体中有溶解的FAD蛋白,它把酰基CoA脱氢酶的氧化作用与辅酶Q的还原联系起来。这种FAD蛋白叫做电子传递蛋白(electron-transferring flavoprotein,ETF)。

5.7.4 来源

肠中细菌可以合成维生素B2,但为量不多,主要尚须依赖食物中供给。牛奶、鸡蛋含维生素B2比较丰富,绿色蔬菜中也有,但植物性食品的维生素B2含量不高。我国以植物性食品为主,维生素B2摄取量偏低。维生素B2热较稳定,但在光的影响下,易于破坏。牛奶中的维生素B2暴露在光中,在不正常味道发生前,光分解就已发生。放置在光中4h,维生素B2损失约71%,烹调损失较小,但如将烹调水废弃,溶于水的维生素B2遭到损失。将维生素B2混入食物中,在储藏过程也比较稳定。在室温中,充氨密封条件下,储存1~2年,还能保存50%以上。

5.7.5 需要量

(1)营养评价指标 一般仍以尿中维生素B2排出量、红细胞维生素B2含量及红细胞麦胱甘胱还原酶活力等为维生素B2营养指标,其中较为灵敏者为红细胞麦胱甘肽还原酶。大鼠肝及器官中都有磷吡哆胺氧化酶(pyridoxamine 5'-phosphate oxidase),如大鼠缺乏维生素B2,此酶活力有改变,缺乏4周时达到严重缺乏程度,此酶活力也降至最低值,这个指标仍在动物试验阶段。

(2)需要量 从我国维生素B2需要量的试验结果来看,每日取量0.70~1.16mg者,试验期共计10周,舌面乳头渐趋扁平、光滑甚或萎缩,但无其他缺乏症象。摄取量12.53mg组,尿排出量上升,根据其转折点计算相当1.2mg摄取量,所以以此为最低需要量,1.5mg为适宜要量。这与Horwitt综合其他作者之结果是一致的。他认为每日取量的0.8~0.9mg2年久,并无缺乏症象的出现,从尿排出量来看,摄取量1.2mg,维生素B2在组织中可能有少量储存。摄取量0.55~1.10mg.d-1尿中维生素B2排出量为摄取量的10%,每日取量1.3mg或更高时,排出量大于20%。

维生素B2的需要量与热量及劳动强度没有关系,但与蛋白质需要量有关系,生长迅速,创伤恢复,怀孕与哺乳期蛋白质需要增加,维生素B2需要量也增加。供应量婴儿每日~0.6mg,儿童0.6~1.2mg,成人1.3~1.7mg,孕妇及乳母1.8~2.0mg。治疗剂量为一次mg或一次mg.d-1,每日3次,由于维生素B2不易溶解,如期望治疗效果快一些,可用肌肉注射25mg维生素B2。为了预防我国维生素B2缺乏,以维生素B2月桂酸酯150mg(相当于75mg维生素B2油针剂肌肉注射,由于释放缓慢,注射一次可维持成人维生素B2正常达2~3月久。

参看